Wenn $X_1 + X_2 = 10$ und $X_1 - X_2 = 4$, was ist dann $X_1$?
Das kann man als CSP schreiben - mögliche Werte probieren ist aber hier keine gute Idee.
Historisch war Logik bis 1990 das Hauptparadigma für künstliche Intelligenz.
Problem: Deterministisch. Kann nicht mit Unsicherheit umgehen (anders: probabilistische Inferenz)
Problem: Regel-basiert. Kein Fine-tuning aus Daten (anders: Machine Learning)
Vorteil: Sehr ausdrucksstark
In den 80ern gab es ähnlich viel Enthusiasmus für Logik basierte Methoden, wie heute für Deep Learning.
Möglichkeit sehr komplexe Dinge sehr knapp zu formulieren.
Beispiel:
Ein Euro ist besser als ein Groschen.
Ein Groschen ist besser als ein Cent.
Also ist ein Euro besser als ein Cent.
Beispiel 2:
Ein Cent ist besser als Nichts.
Nichts ist besser als Weltfrieden.
Also ist ein Cent besser als Weltfrieden.
Natürliche Sprache ist ungenau.
Sprachen sind ein Weg um Dinge auszudrücken
Natürliche Sprache (informell)
Englisch: Two divides even numbers.
German: Zwei teilt gerade Zahlen
Programmiersprachen (formal)
Python: def even(x): return x % 2 == 0
C++: bool even(int x) { return x % 2 == 0; }
Logische Sprachen (formal)
First-order-logic: $\forall x.\ \text{Even}(x) \to \text{Divides}(x, 2)$
Logische Sprachen Sprachen sind formal (exakt) wie Programmiersprachen, und deklarativ, wie natürliche Sprache.
Bausteine
Syntax: definiert eine Menge valider Aussagen (Formeln / Klauseln)
Beispiel: $\text{Regen} \wedge \text{Nass}$
Semantik: für jede Aussage spezifiziere die Bedeutung einer Konfiguration
Beispiel:
$\text{Regen}$ $\text{Nass}$ $\text{Regen} \wedge \text{Nass}$
0 0 0
1 0 0
0 1 0
1 1 1
Inferenzregeln: Gegeben $f$, welche Aussage $g$ kann ich daraus folgern ($\frac{f}{g}$)
Beispiel: Aus $\text{Regen} \wedge \text{Nass}$ folgt $\text{Regen}$
Unser Ziel ist nicht selber mit logischen Ausdrücken zu arbeiten (das wäre normale Intelligenz), sondern Algorithmen zu bauen, die mit Logik
arbeiten können.
Syntax vs Semantik
Syntax: Was ist ein valider Ausdruck in der Sprache?
Semantik: Was bedeutet ein solcher Ausdruck?
Unterschiedliche Syntax, gleiche Semantik:
$2 + 3 \Leftrightarrow 3 + 2$
(jeweils 5)
Gleiche Syntax, unterschiedliche Semantik:
3/2 (Python 2.7) $\not\Leftrightarrow$ 3/2 (Python 3)
(1 vs 1.5)
Wir müssen Semantik und Syntax definieren, damit eine Sprache Bedeutung bekommt (Syntax alleine reicht nicht)
Logiken
Aussagenlogik (nur mit Horn-Klauseln)
Aussagenlogik
Modallogik
Prädikatenlogik erster Stufe (nur mit Horn-Klauseln)
Prädikatenlogik erster Stufe
Prädikatenlogik zweiter Stufe
...
Tradeoff: Ausdrucksstärke vs (rechentechnische) Effizienz
Syntax
Symbole (elementare Aussagen, Atome): $A, B, C$
Logische Verknüpfungen: $\neg, \wedge, \vee, \to, \leftrightarrow$
Wenn $f$ und $g$ Aussagen sind, dann gibt es auch folgende Aussagen:
Negation: $\neg f$
Konjunktion: $f \wedge g$
Disjunktion: $f \vee g$
Implikation: $f \to g$
Bikonditional: $f \leftrightarrow g$
Können rekursiv Aussagen aufbauen: $\neg f \wedge g \to \neg f \vee \neg g$
Aussage: $A$
Aussage: $\neg A$
Aussage: $\neg B \to C$
Aussage: $\neg A \wedge (\neg B \to C) \vee (\neg B \vee D)$
Aussage: $\neg \neg A$
Keine Aussage: $A \neg B$
Keine Aussage: $A + B$
Wichtig: Eine Aussage allein ist nur eine Menge Symbole
Ohne Semantik haben diese noch keine Bedeutung
Hier müssen wir aufpassen, da wir selber mit den Symbolen schon eine Semantik verbinden
Die Semantik unserer Logik könnte aber eine andere sein.
Syntax
Symbole $A$
Aussagen $f$
Verknüpfungen $\neg, \wedge, \ldots$
Eine Interpretation (oder model) $w$ in der Aussagenlogik ist eine Zuweisung von Wahrheitswerten zu den Symbolen.
Beispiel:
3 Symbole $A, B, C$
$2^3 = 8$ mögliche Interpretationen $w$:
$A$ $B$ $C$
0 0 0
0 0 1
0 1 0
0 1 1
1 0 0
1 0 1
1 1 0
1 1 1
Das ist quasi ein Assignment wie bei den Factor Graphs. w wie Welt.
Syntax
Symbole $A$
Aussagen $f$
Verknüpfungen $\neg, \wedge, \ldots$
Semantik
Interpretation $w$
Sei $f$ eine Aussage und $w$ eine Interpretation.
Eine Auswertefunktion (Interpretationsfunktion) $\mathcal{I}(f, w)$ gibt zurück:
True (1): $w$ erfüllt $f$.
False (0): $w$ erfüllt $f$ nicht.
Die Auswertefunktion definiert meine Semantik
Einfacher Fall:
Für ein atomares Symbol $p$ (z.B. $A, B, C$) gilt:
\[
\mathcal{I}(p, w) = w(p)
\]
$p = \text{Regen}$, $w = \{ \text{Regen}: 1 \}$,
$\mathcal{I}(p, w) = 1$
Rekursiver Fall:
Für zwei Aussagen $f$ und $g$ definiere:
$f$ $g$ $\mathcal{I}(\neg f, w)$ $\mathcal{I}(f \wedge g, w)$
$\mathcal{I}(f \vee g, w)$ $\mathcal{I}(f \to g, w)$ $\mathcal{I}(f \leftrightarrow g, w)$
0 0 1 0 0 1 1
0 1 1 0 1 1 0
1 0 0 0 1 0 0
1 1 0 1 1 1 1
Das ist die gesamte Semantik unserer Logik.
Wir wollen nicht selber Logik machen, sondern Algorithmen dafür bauen. Die Regeln hier könnten wir auch anders wählen und eine Logik erhalten.
Aussage: $f = (\neg A \wedge B) \leftrightarrow C$
Interpretation: $w = \{A: 1, B: 1, C: 0\}$
Analog zum CSP gibt uns die Auswertefunktion quasi das "Gewicht" von Aussage und Interpretation. Nur halt rekursiv und nicht multiplikativ.
Syntax
Symbole $A$
Aussagen $f$
Verknüpfungen $\neg, \wedge, \ldots$
Semantik
Interpretation $w$
Auswertefunktion $\mathcal{I}$
Sei $\mathcal{M}(f)$ die Menge aller Interpretationen $w$, so dass $\mathcal{I}(f, w) = 1$.
Eine Aussage definiert damit eine Menge von möglichen Welten, in der wir uns befinden können.
Wenn ich sage "Es hat um 7 Uhr geregnet", dann schließe ich jede Welt aus, in der das nicht der Fall ist.
Aussage: $f = \text{Regen} \vee \text{Nass}$
Interpretationen:
\[
\mathcal{M}(f) = \{\\ \{\text{Regen}: 1, \text{Nass}: 0 \},\\ \{\text{Regen}: 0, \text{Nass}: 1 \},\\ \{\text{Regen}: 1, \text{Nass}: 1 \} \}
\]
Eine Aussage ist ein kompakter Weg um eine Menge von Interpretationen darzustellen.
Die Menge an repräsentierten Interpretationen kann exponentiell groß sein.
Syntax
Symbole $A$
Aussagen $f$
Verknüpfungen $\neg, \wedge, \ldots$
Semantik
Interpretation $w$
Auswertefunktion $\mathcal{I}$
Interpretationen $\mathcal{M}(f)$
Eine Wissensdatenbank (knowledge base) KB ist eine Menge von Ausdrücken und repräsentiert deren Schnittmenge / Konjunktion:
$$\mathcal{M}(\text{KB}) = \bigcap_{f \in \text{KB}} \mathcal{M}(f)$$
Die KB ist eine Menge Nebenbedingungen für die Welt / Interpretation.
Sei $\text{KB} = \{ \text{Regen} \vee \text{Schnee}, \text{Verkehr} \}$.
Ohne Aussagen ist quasi alles möglich. Mit jeder Aussage schrumpfen wir die möglichen Interpretationen.
$\mathcal{M}(\text{Regen}) = \{\\ \{\text{Regen}: 1, \text{Nass}: 0\},\\ \{\text{Regen}: 1, \text{Nass}: 1\}\}$
$\mathcal{M}(\text{Regen} \to \text{Nass}) = \{\\ \{\text{Regen}: 0, \text{Nass}: 0\},\\
\{\text{Regen}: 0, \text{Nass}: 1\},\\ \{\text{Regen}: 1, \text{Nass}: 1\}\}$
$\mathcal{M}(\text{Regen}, \text{Regen} \to \text{Nass}) = \{\\ \{\text{Regen}: 1, \text{Nass}: 1\}\}$
Mit der Zeit fügen wir neue Aussagen zu unserer knowledge base hinzu:
\[
\text{KB} \Rightarrow \text{KB} \cup \{ f \}
\]
Damit schrumpft die Menge möglicher Interpretationen:
\[
\mathcal{M}(\text{KB}) \Rightarrow \mathcal{M}(\text{KB}) \cap \mathcal{M}(f)
\]
Wir lernen mehr Fakten über die Welt und grenzen damit ein, wie die Welt aussieht.
Etwas unintuitiv: Mehr Wissen bedeutet stärkere Einschränkung der Möglichkeiten.
Wie stark schrumpft die Menge an Interpretationen?
Implikation (Entailment)
$f$ gibt uns keine neue Information (war bereits bekannt)
$\text{KB}$ impliziert $f$ (kurz: $\text{KB} \vDash f$) genau dann, wenn $\mathcal{M}(\text{KB}) \subseteq \mathcal{M}(f)$.
Beispiel: $$\text{Verkehr} \wedge \text{Schnee} \vDash \text{Schnee}$$
Wenn wir wissen, dass viel Verkehr ist und es Schneit, dann lernen wir nichts, wenn man uns sagt, dass es schneit.
Widerspruch (Contradiction)
$f$ widerspricht unserem Wissen.
$\text{KB}$ widerspricht $f$ genau dann, wenn $\mathcal{M}(\text{KB}) \cap \mathcal{M}(f) = \emptyset$.
Beispiel: $\text{Verkehr} \wedge \text{Schnee}$ widerspricht $\neg\text{Schnee}$
Kontingenz (Contingency)
$f$ gibt uns neue, nicht triviale Information zu $\text{KB}$.
$\emptyset \subsetneq \mathcal{M}(\text{KB}) \cap \mathcal{M}(f) \subsetneq \mathcal{M}(\text{KB})$
Das deckt auch den Fall ab, wenn M(f) Teilmenge von M(KB) ist.
Beispiel: $\text{Verkehr}$ und $\text{Schnee}$.
$\text{KB}$ widerspricht $f$ genau dann, wenn $\text{KB} \vDash \neg f$.
Unsere knowledge base soll eine Methode $\text{Tell}[f]$ bekommen mit der wir Fakten hinzufügen können.
$\text{Tell}[\text{Regen}]$Tell: "Es regnet."
Mögliche Antworten:
Weiß ich bereits: $\text{KB} \vDash f$
Glaube ich nicht: $\text{KB} \vDash \neg f$
Ich habe etwas gelernt: Update $\text{KB}$.
Wir wollen eine Methode haben, um der knowledge base Fragen zu stellen: $\text{Ask}[f]$
$\text{Ask}[\text{Regen}]$Ask: "Regnet es?"
Mögliche Antworten:
Ja: $\text{KB} \vDash f$
Nein: $\text{KB} \vDash \neg f$
Weiß ich nicht: Kontingenz
Bayesian Network als Generalisierung
Wir haben keine Menge von Interpretationen, sondern eine Verteilung über mögliche Assignments.
$w$ $P(W = w)$
$\{A : 0, B: 0, C: 0\}$ $0.3$
$\{A : 0, B: 0, C: 1\}$ $0.1$
...
\[
P(f | \text{KB}) = \frac{\sum_{w \in \mathcal{M}(\text{KB} \cup \{f\})} P(W = w)}{\sum_{w \in \mathcal{M}(\text{KB})} P(W = w)}
\]
Das ist eine Art "weiche" Logik - später aber kein Teil der Vorlesung mehr (nur ein Exkurs).
\[
P(f | \text{KB}) = \frac{\sum_{w \in \mathcal{M}(\text{KB} \cup \{f\})} P(W = w)}{\sum_{w \in \mathcal{M}(\text{KB})} P(W = w)}
\]
$0$: Nein
$1$: Ja
$>0, < 1$: Weiß ich nicht
Hier können wir im "Keine Ahnung" Fall immerhin eine Wahrscheinlichkeit angeben.
Eine knowledge base $\text{KB}$ ist erfüllbar (satisfiable), wenn $\mathcal{M}(\text{KB}) \neq \emptyset$.
Können die Antwort für "Ask" und "Tell" reduzieren auf Erfüllbarkeit:
SAT können wir schon lösen (siehe CSPs)!
Variable $\Leftarrow$ Symbol
Contraint / Factor $\Leftarrow$ Aussage
Assignment $\Rightarrow$ Interpretation
Beispiel: $\text{KB} = \{ A \vee B, B \leftrightarrow \neg C \}$
Symbole / Variablen: $\{A, B, C\}$
Factor Graph:
Konsistentes Assignment: $\{A: 1, B: 0, C:1 \}$.
Die bisherigen Aussagen können immer für den SAT Solver in Conjunctive Normalform (CNF) überführt werden:
$B$
$C$
$B \leftrightarrow \neg C$
$(B \vee C) \wedge (\neg B \vee \neg C)$
0 0 0 0
0 1 1 1
1 0 1 1
1 1 0 0
Model Checking
Input: Knowledge base $\text{KB}$
Output: Ist $\text{KB}$ erfüllbar? ($\mathcal{M}(\text{KB}) \neq \emptyset$)
Können SAT solver nutzen um die Antworten zu generieren
Können wir noch mehr machen?
Konzept: Schlussfolgern (Inference)
Beispiel: Schlussfolgern
Es regnet. ($\text{Regen}$)
Wenn es regnet, dann ist es nass. ($\text{Regen} \to \text{Nass}$)
Also ist es nass. ($\text{Nass}$)
$$\frac{\text{Regen}, \text{Regen} \to \text{Nass}}{\text{Nass}} \qquad \frac{\text{(Prämisse)}}{\text{(Konklusion)}}$$
Schlussregel: Modus ponens
Für Aussagen $p$ und $q$ gilt:
$$\frac{p, p \to q}{q}$$
Der Vorteil von Schlussregeln ist, dass sie lokal operieren (wir brauchen nicht die gesamte KB prüfen um neue Aussagen zu generieren)
Eine Schlussregel hat immer die Form
$$ \frac{f_1, f_2, \ldots, f_k}{g} $$
Schlussregeln operieren nur auf der Syntax (und brauchen keine Semantik)
Der Witz ist, dass die Schlussoperationen ganz mechanisch auf der Syntax passieren - die Maschine kann schlussfolgern,
ohne die Semantik zu kennen oder zu verstehen.
Algorithmus: Forward Inference
Eine knowledge base $\text{KB}$ beweist $f$ ($\text{KB} \vdash f$), wenn $f$ irgendwann zu $\text{KB}$ hinzugefügt wird.
Implikation / Entailment ist eine Verhältnis zwischen KB und beliebigen f (bzw. Ihren Interpretationen). Beweisen ist dagegen etwas, was wir (unser Algorithmus) tun.
$\text{KB} = \{\text{Regen}, \text{Regen} \to \text{Nass}, \text{Nass} \to \text{Rutschig} \}$
Modus ponens ($\text{Regen}$ und $\text{Regen} \to \text{Nass}$):
$\text{KB} = \{\text{Regen}, \text{Regen} \to \text{Nass}, \text{Nass} \to \text{Rutschig}, {\color{red} \text{Nass}} \}$
Modus ponens ($\text{Nass}$ und $\text{Nass} \to \text{Rutschig}$):
$\text{KB} = \{\text{Regen}, \text{Regen} \to \text{Nass}, \text{Nass} \to \text{Rutschig}, {\color{red} \text{Nass}}, {\color{red} \text{Rutschig}} \}$
Semantik
Implikation / Entailment $\text{KB} \vDash f$ ist definiert durch die Interpretation.
Syntax
Schlussregeln erzeugen neue Aussagen $\text{KB} \vdash f$.
Wie verhält sich $\{ f: \text{KB} \vDash f \}$ zu $\{ f: \text{KB} \vdash f \}$?
Definition: Gültigkeit
Eine Menge Schlussregeln $\text{Regeln}$ ist gültig, wenn:
$$ \{ f: {\color{red} \text{KB} \vdash f }\} \subseteq \{ f: {\color{blue} \text{KB} \vDash f} \} $$
$\{ f: {\color{blue} \text{KB} \vDash f} \}$ ist die (semantische) Wahrheit
Ich sollte nur Aussagen erzeugen, die gemäß unserer Semantik Sinn machen.
Definition: Vollständigkeit
Eine Menge Schlussregeln $\text{Regeln}$ ist vollständig, wenn:
$$ \{ f: {\color{red} \text{KB} \vdash f }\} \supseteq \{ f: {\color{blue} \text{KB} \vDash f} \} $$
Gültigkeit: Nichts als die Wahrheit
Vollständigkeit: Die ganze Wahrheit
Idealerweise wollen wir: die ganze Wahrheit und nichts als die Wahrheit.
Wenn wir nicht beides haben können, präferieren wir Gültigkeit.
Ist $\frac{p, p \to q}{q}$ (Modus ponens) gültig?
$\mathcal{M}(p)$
$\cap$
$\mathcal{M}(p \to q)$
$\subseteq$ ?
$\mathcal{M}(q)$
Gültig!
Ist $\frac{q, p \to q}{p}$ gültig?
$\mathcal{M}(q)$
$\cap$
$\mathcal{M}(p \to q)$
$\subseteq$ ?
$\mathcal{M}(p)$
Ungültig!
Das ist ein Schluss der häufig intuitiv trotzdem gemacht wird. Wenn wir in Bayesian networks denken, dann erhöht sich auch die Wahrscheinlichkeit von p.
(wenn es nass ist, ist es wahrscheinlicher, dass es regnet)
Ist Modus ponens vollständig?
Gegenbeispiel
$\text{KB} = \{\text{Regen}, \text{Regen} \vee \text{Schnee} \to \text{Nass}\}$
$f = \text{Nass}$
$\text{KB} \vDash f$ (f ist impliziert)
$\text{KB} \not\vdash f$ (f ist nicht beweisbar)
Wie kommen wir zur Vollständigkeit?
Restriktivere Menge an Aussagen
(Aussagenlogik nur mit Horn-Formeln)
Stärkere Schlussregeln
Definite Klausel
Eine definite Klausel hat die Form:
$$ (p_1 \wedge \ldots \wedge p_k) \to q $$
Definite Klauseln:
$(\text{Regen} \wedge \text{Schnee}) \to \text{Verkehr}$
$\text{Verkehr}$
Nicht definite Klauseln:
$\neg \text{Verkehr}$
$(\text{Regen} \wedge \text{Schnee}) \to (\text{Verkehr} \vee \text{Homeoffice})$
Beispiele:
$(\text{Regen} \wedge \text{Schnee}) \to \text{Verkehr}$
$(\text{Verkehr} \wedge \text{Homeoffice}) \to \text{false}$
äquivalent: $\neg(\text{Verkehr} \wedge \text{Homeoffice})$
oder: $\neg \text{Verkehr} \vee \neg \text{Homeoffice}$
Modus ponens (generalisiert)
\[
\frac{p_1, \ldots, p_k, (p_1 \wedge \ldots \wedge p_k) \to q}{q}
\]
Beispiel:
\[
\frac{\text{Nass}, \text{Wochentag}, (\text{Nass} \wedge \text{Wochentag}) \to \text{Verkehr}}{\text{Verkehr}}
\]
Theorem
Modus ponens is vollständig für Horn-Klauseln
Wenn $\text{KB}$ nur Horn-Klauseln enthält, dann ist $\text{KB} \vDash p$ äquivalent zu $\text{KB} \vdash p$.
$\text{KB}$
$\text{Regen}$
$\text{Wochentag}$
$\text{Regen} \to \text{Nass}$
$(\text{Nass} \wedge \text{Wochentag}) \to \text{Verkehr}$
$(\text{Verkehr} \wedge \text{Unvorsichtig}) \to \text{Unfall}$
$\text{Nass}$
$\text{Verkehr}$
Modus ponens (generalisiert)
\[
\frac{p_1, \ldots, p_k, (p_1 \wedge \ldots \wedge p_k) \to q}{q}
\]
Frage: $\text{KB} \vDash \text{Verkehr} \quad\Leftrightarrow\quad \text{KB} \vdash \text{Verkehr}$
Durch die Einschränkung auf Horn-Klauseln wird Modus ponens vollständig.
Aber wir können einige Dinge (z.B. "entweder oder") nicht darstellen.
Horn-Klauseln gehen quasi nur vorwärts (ein Symbol wird durch bestimmte Voraussetzungen sicher wahr)
Bausteine für eine Logik
Syntax: Was sind erlaubte Aussagen?
$\text{Regen} \wedge \text{Nass}$
Semantik: Welche Interpretationen $\mathcal{M}(f)$ lässt eine Aussage zu?
$\text{Regen}$
0 1
$\text{Nass}$ 0
1
Schlussregeln: Welche neuen Aussagen können wir aus $\text{KB}$ schließen?
Aus $\text{Regen} \wedge \text{Nass}$ schließe $\text{Regen}$
Inferenz Algorithmus:
Wende Schlussregeln immer wieder auf $\text{KB}$ an.
Zulässige Regeln: Bewiesene Aussagen sind semantisch korrekt
Volländige Regeln: Wir können alle korrekten Aussagen beweisen
Zulässigkeit wollen wir auf jeden Fall haben.
erlaube Aussagen Schlussregel Vollständig?
Aussagenlogik Modus ponens Nein
Aussagenlogik (nur Horn-Klauseln) Modus ponens Ja
Aussagenlogik Resolution Ja
Wir haben trotzdem einen Tradeoff (werden sehen, dass Resolution exponentiell in der Zeit ist, Modus ponens ist jedoch polynomiell).
Horn-Klauseln als Disjunktion
Mit Implikation Mit Disjunktion
$A \to C$ $\Leftrightarrow$ $\neg A \vee C$
$(A \wedge B) \to C$ $\Leftrightarrow$ $\neg A \vee \neg B \vee C$
Literal: Entweder $p$ oder $\neg p$ für ein Symbol $p$
Klausel: Disjunktion von Literalen
Horn-Klausel: Klausel mit maximal einem positiven Literal
Eine Ziel Klausel ist eine, die kein positives Literal hat.
Modus ponens für Disjunktionen
\[
\frac{A, \neg A \vee C}{C}
\]
Intuition: $A$ und $\neg A$ heben sich auf.
Resolution (Robinson, 1965)
Beispiel:
\[
\frac{\text{Regen} \vee {\color{red} \text{Schnee}}, \quad {\color{red} \neg \text{Schnee}} \vee \text{Verkehr}}{\text{Regen} \vee \text{Verkehr}}
\]
Resolution Schlussregel
\[
\frac{f_1 \vee \ldots \vee f_n \vee {\color{red} p}, \quad {\color{red} \neg p} \vee g_1 \vee \ldots \vee g_m}{f_1 \vee \ldots \vee f_n \vee g_1 \vee \ldots \vee g_m}
\]
Ist Resolution gültig?
$\frac{f \vee p, \quad \neg p \vee g}{f \vee g}$
$\mathcal{M}(f \vee p)$
$\cap$
$\mathcal{M}(\neg p \vee g)$
$\subseteq$ ?
$\mathcal{M}(f \vee g)$
$p$
0 1
$f,g$ 0,0
0,1
1,0
1,1
$p$
0 1
$f,g$ 0,0
0,1
1,0
1,1
$p$
0 1
$f,g$ 0,0
0,1
1,0
1,1
Resolution ist gültig!
Theorem: Resolution ist vollständig
Resolution ist vollständig, wenn $\text{KB}$ nur aus Klauseln besteht.
Das ist recht beindruckend, dass wir kein System an Regeln, sondern nur eine brauchen, um alles Schlusszufolgern.
Resolution funktioniert nur auf Klauseln - aber das reicht uns
Conjunctive normal form (CNF)
Eine CNF Aussage ist eine Konjunktion von Klauseln.
Beispiel: $(A \vee B \vee \neg C) \wedge (\neg B \vee D)$
Äquivalent zu einer knowledge base nur mit Klauseln.
Das hatten wir schon bei den SAT Solvern gesehen. Wir haben viele Aussagen nur mit Oder
Konvertieren in CNF Form
Jede Aussage $f$ in der Aussagenlogik kann in eine CNF Aussage $f'$ überführt werden:
\[
\mathcal{M}(f) = \mathcal{M}(f')
\]
$(\text{Sommer} \to \text{Schnee}) \to \text{Merkwürdig}$
$(\neg \text{Sommer} \vee \text{Schnee}) \to \text{Merkwürdig}$ (Implikation ersetzen)
$\neg (\neg \text{Sommer} \vee \text{Schnee}) \vee \text{Merkwürdig}$ (Implikation ersetzen)
$(\neg \neg \text{Sommer} \wedge \neg \text{Schnee}) \vee \text{Merkwürdig}$ (de Morgan'sche Regel)
$(\text{Sommer} \wedge \neg \text{Schnee}) \vee \text{Merkwürdig}$ (Doppelte Negation entfernen)
$(\text{Sommer} \vee \text{Merkwürdig}) \wedge (\neg \text{Schnee} \vee \text{Merkwürdig})$ ($\vee$ in die Klammer ziehen)
Ersetzungsregeln
Eliminiere $\leftrightarrow$: $\frac{f \leftrightarrow g}{(f \to g) \wedge (g \to f)}$
Eliminiere $\to$: $\frac{f \to g}{(\neg f \vee g)}$
$\neg$ in die Klammer ziehen (1): $\frac{\neg (f \wedge g)}{(\neg f \vee \neg g)}$
$\neg$ in die Klammer ziehen (2): $\frac{\neg (f \vee g)}{(\neg f \wedge \neg g)}$
Eliminiere doppelte Negation: $\frac{\neg \neg f}{f}$
$\vee$ in die Klammer ziehen: $\frac{f \vee (g \wedge h)}{(f \vee g) \wedge (f \vee h)}$
Das sind alle Ersetzungsregeln die wir brauchen um alles in CNF zu überführen.
Und CNF ist der Grundbaustein für die Resolution Regel
Wir können nun Resolution verwenden um auf Entailment zu testen
$\text{KB} \vDash f \quad \Leftrightarrow \quad \text{KB} \cup \{ \neg f \}$ ist nicht erfüllbar.
"Beweis durch Widerspruch"
Könnten das auch mit nem SAT solver (model checking) machen (und vermutlich besser) - aber Resolution funktioniert später auch für Prädikatenlogik.
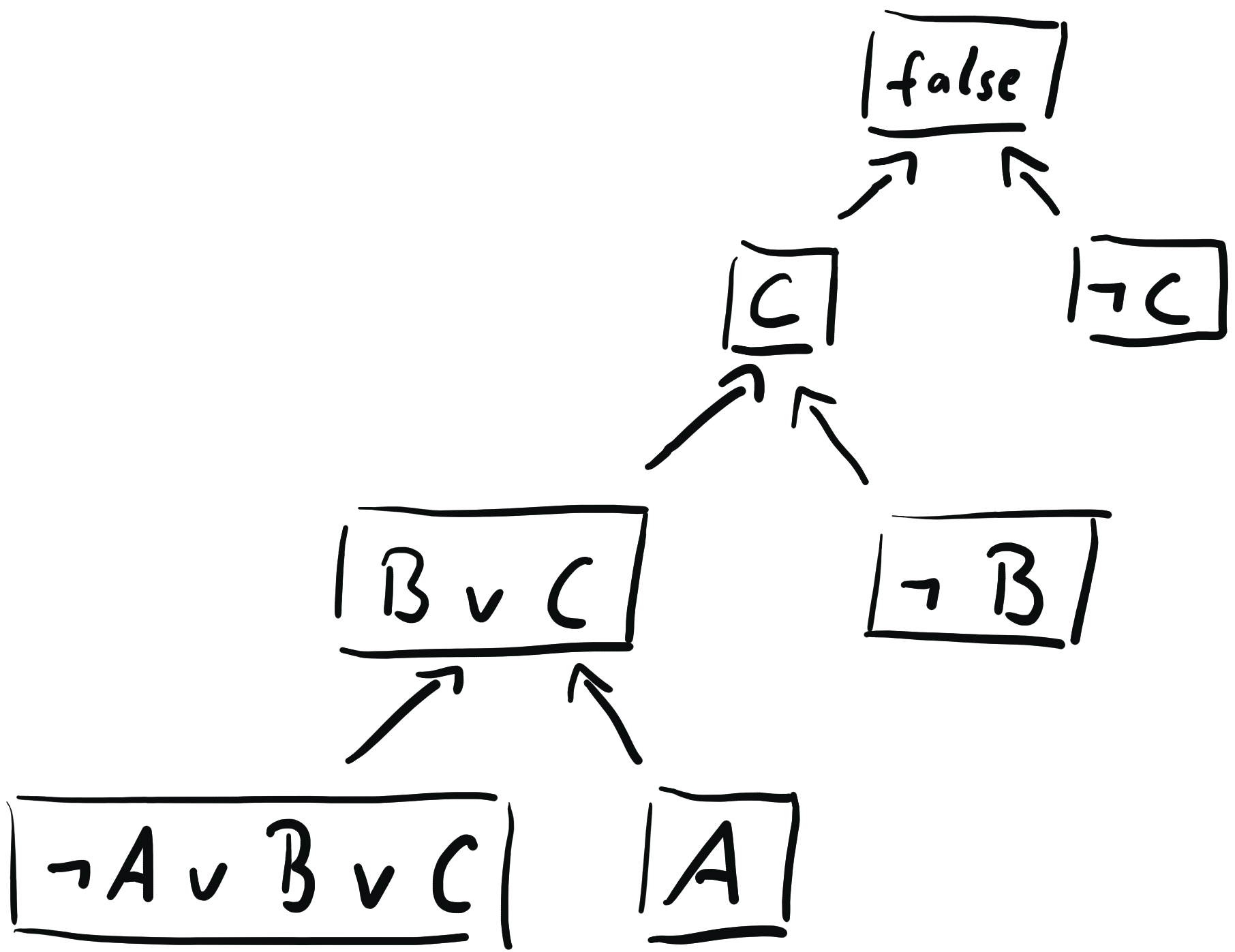
Beispiel
$\text{KB} = \{A \to (B \vee C), A, \neg B \}, f = C$
$\text{KB}' = \{A \to (B \vee C), A, \neg B, \neg C \}$
$\text{KB}' = \{\neg A \vee B \vee C, A, \neg B, \neg C \}$
$\text{KB} \vDash C$
Damit wissen wir, dass KB C impliziert.
Modus ponens
\[
\frac{p_1, \ldots, p_k, (p_1 \wedge \ldots \wedge p_k) \to q}{q}
\]
Jede Anwendung der Regel produziert Klausel mit einem Symbol.Lineare Zeit
Resolution
\[
\frac{f_1 \vee \ldots \vee f_n \vee {\color{red} p}, \quad {\color{red} \neg p} \vee g_1 \vee \ldots \vee g_m}{f_1 \vee \ldots \vee f_n \vee g_1 \vee \ldots \vee g_m}
\]
Jede Anwendung produziert Klausel mit mehreren Symbolen.Exponentielle Zeit
Sonst könnten wir ja auch SAT einfach lösen (und das ist NP schwer).
Zusammenfassung (Aussagenlogik)
Horn-Klauseln Beliebige Klauseln
Modus ponens Resolution
Lineare Zeit Exponentielle Zeit
Ausdrucksschwächer Ausdrucksstärker
Grenzen der Aussagenlogik
Alice und Bob verstehen Arithmetik
$\text{AliceVerstehtArithmetik} \wedge \text{BobVerstehtArithmetik}$
Alle Studierenden verstehen Arithmetik
$\text{AliceStudiert} \to \text{AliceVerstehtArithmetik}$
$\text{BobStudiert} \to \text{BobVerstehtArithmetik}$
...
Jede gerade ganze Zahl größer 2 ist die Summe von zwei Primzahlen
???
Manche Aussagen sind unhandlich. Manches geht gar nicht als Aussage.
Was fehlt uns?
Objekte und Prädikate: Aussagen ($\text{AliceVerstehtArithmetik}$ ) haben
mehr interne Struktur ($\text{alice}$, $\text{Versteht}$, $\text{arithmetik}$ )
Quantoren und Variablen:
Wollen Aussagen über "alle" Dinge machen können ohne alle aufzuzählen.
Prädikatenlogik (erster Stufe)
Alice und Bob verstehen Arithmetik
$\text{Versteht}(\text{alice}, \text{arithmetik})
\wedge \text{Versteht}(\text{bob}, \text{arithmetik}) $
Alle Studierenden verstehen Arithmetik
$\forall x\; \text{Studiert}(x) \to \text{Versteht}(x, \text{arithmetik})$
Syntax
Terme
Konstanten (z.B.: $\text{arithmetik}$ )
Variablen (z.B.: $x$ )
Funktionen von Termen (z.B.: $\text{Summe}(3, x)$ )
Aussagen
Atomare Ausdrücke: Prädikate angewendet auf Terme
(z.B.: $\text{Versteht}(x, \text{arithmetik})$ )
Verknüpfungen von Ausdrücken
(z.B.: $\text{Studiert}(x) \to \text{Versteht}(x, \text{arithmetik})$ )
Quantoren angewendet auf Ausdrücke
(z.B.: $\forall x\; \text{Studiert}(x) \to \text{Versteht}(x, \text{arithmetik})$ )
Terme spezifizieren Objekte, Ausdrücke Wahrheitswerte.
Prädikate und Funktionen sind nicht das gleiche (die einen produzieren Wahrheitswerte, die anderen Terme)!
Quantoren
Allquantor
Konjunktion aller möglichen Werte:
$\forall x\; P(x)$ entspricht $P(A) \wedge P(B) \wedge \ldots$
Existenzquantor
Disjunktion aller möglichen Werte:
$\exists x\; P(x)$ enstpricht $P(A) \vee P(B) \vee \ldots$
Die Entprechungen sind natürlich schon Semantik, obwohl wir gerade erst Syntax definieren.
de Morgan'sche Regel für Quantoren:
$\neg \forall x\; P(x)$ entspricht $\exists x\; \neg P(X)$
Achtung: $\forall x\; \exists y\; P(x,y)$ ist nicht gleich $\exists y\; \forall x\; P(x,y)$.
Wenn es für jede Person etwas gibt, was sie versteht, heißt das nicht, dass es etwas gibt, dass
jede Person versteht.
Im Normalfall wollen wir beim Allquantor erst mal Implikation und beim Existenzquantor Konjunktion haben.
Es gibt einen Kurs, den alle Studierenden belegt haben.
\[
\exists y\; \text{Kurs}(y) \wedge (\forall x\; \text{Studiert}(x) \to \text{Belegt}(x, y))
\]
Jede gerade ganze Zahl größer 2 ist die Summe zweier Primzahlen.
\[
\forall x\; (\text{GeradeGanzeZahl}(x) \wedge \text{Größer}(x, 2)) \to\\ ( \exists y\; \exists z\; \text{Gleich}(x, \text{Summe}(y,z)) \wedge \text{Prim}(y) \wedge \text{Prim}(z))
\]
Wenn ein Studierender einen Kurs belegt und der Kurs ein Konzept behandelt, dann versteht der Studierende das Konzept.
\[
\forall x\; \forall y\; \forall z\; (\text{Studiert}(x) \wedge \text{Belegt}(x, y) \wedge \text{Kurs}(y) \wedge\\ \text{Behandelt}(y, z))
\to \text{Versteht}(x,z)
\]
Syntaktisch korrekte Aussage - ob sie war ist steht auf einem anderen Blatt.
Wie funktioniert die Semantik für Prädikatenlogik?
Aussagenlogik: Interpretation $w$ mappt Symbole auf Wahrheitswerte
$w = \{\text{AliceVerstehtArithmetik}: 1,\\ \text{BobVerstehtArithmetik}: 0\}$
Für Prädikatenlogik müssen wir die Beziehungen aus den Prädikaten abbilden
Graphische Variante einer Interpretation
Angenommen wir haben nur unäre und binäre Prädikate.
Knoten sind Objekte, Label sind Konstanten.
Unäre Prädikate sind zusätzliche Label.
Binäre Prädikaten sind Kanten.
Funktionssymbole funktionieren analog - ignorieren wir hier der Einfachheit halber.
Alice und Bob sind Studierende
$\text{Studiert}(\text{alice}) \wedge \text{Studiert}(\text{bob})$
Unique names: Jedes Objekt hat maximal eine Konstante (verbietet $w_2$)
Domain closure: Jedes Objekt hat mindestens eine Konstante (verbietet $w_3$)
Das sind oft gemachte Annahmen (die aber nicht strikt nötig sind) um Konfusion zu vermeiden.
Wir wollen in der Regel eine 1:1 Beziehung.
Mit dem 1:1 Mapping können wir Aussagen der Prädikatenlogik zu Aussagen der Aussagenlogik übersetzen
Knowledge base in Prädikatenlogik
$\text{Studiert}(\text{alice}) \wedge \text{Studiert}(\text{Bob})$
$\forall x\; \text{Studiert}(x) \to \text{Person}(x)$
$\exists x\; \text{Studiert}(x) \wedge \text{Kreativ}(x)$
Knowledge base in Aussagenlogik
$\text{Studiertalice} \wedge \text{Studiertbob}$
$\text{Studiertalice} \to \text{Personalice}$
$\text{Studiertbob} \to \text{Personbob}$
$(\text{Studiertalice} \wedge \text{Kreativalice}) \vee (\text{Studiertbob} \wedge \text{Kreativbob})$
In Aussagenlogik kann sich das aber sehr aufblähen (im Extremfall mit unendlich vielen Aussagen).
Wie kommen wir zu Schlussregeln für Prädikatenlogik?
Definite Klauseln
Aussagenlogik: $$ (p_1 \wedge \ldots \wedge p_k) \to q $$
Müssen Quantoren und Prädikate berücksichtigen:
\[
\forall x\; \forall y\; \forall z\; (\text{Studiert}(x) \wedge \text{Belegt}(x, y) \wedge \text{Kurs}(y) \wedge\\ \text{Behandelt}(y, z))
\to \text{Versteht}(x,z)
\]
Definite Klauseln (Prädikatenlogik)
Eine definite Klausel hat die Form
\[
\forall x_1\; \ldots\; \forall x_n\; (a_1 \wedge \ldots \wedge a_k) \to b
\]
für Variablen $x_1, \ldots, x_n$ und atomare Ausdrücke $a_1, \ldots, a_k, b$, welche
diese Variablen enthalten.
Modus ponens (Prädikatenlogik)
\[
\frac{a_1, \ldots, a_k, \quad \forall x_1\; \ldots\; \forall x_n\; (a_1 \wedge \ldots \wedge a_k) \to b }{b}
\]
Gegeben: $P(\text{alice})$ und $\forall x\; P(x) \to Q(x)$.
$P(x)$ und $P(\text{alice})$ matchen nicht - können also nicht $Q(\text{alice})$ schließen!
Brauchen Konzept um Variablen und Konstanten zu matchen.
Die Regeln wissen nichts über Semantik.
Substitution
Idee: Find & Replace
$\text{Subst}[\{x / \text{alice}\}, P(x)] = P(\text{alice})$
$\text{Subst}[\{x / \text{alice}, y / z\}, P(x) \wedge K(x, y)] =\\ P(\text{alice}) \wedge K(\text{alice}, z)$
Eine Substitution $\theta$ ist ein Mapping von Variablen auf Terme.
$\text{Subst}[\theta, f]$ gibt die Aussage zurück, welche die Substitution $\theta$ auf $f$ produziert.
Formale Definition überspringen wir. Wichtige Anmerkung: Wir substituieren eine Variable nicht, wenn sie noch einen Quantor hat.
Unification
Idee: Finde passende Substitution für zwei Aussagen
$\text{Unify}[\text{Versteht}({\color{red}\text{alice}}, \text{arithmetik}),
\text{Versteht}({\color{red} x}, \text{arithmetik})] = \{{\color{red} x / \text{alice}}\}$
$\text{Unify}[\text{Versteht}({\color{red}\text{alice}}, {\color{blue} y}),
\text{Versteht}({\color{red} x}, {\color{blue} z})] = \{{\color{red} x / \text{alice}}, {\color{blue} y / z}\}$
$\text{Unify}[\text{Versteht}({\color{red}\text{alice}}, {\color{blue} y}),
\text{Versteht}({\color{red} \text{bob}}, {\color{blue} z})] = \text{fail}$
$\text{Unify}[\text{Versteht}({\color{red}\text{alice}}, {\color{blue} y}),
\text{Versteht}({\color{red} x}, {\color{blue} F(x)})] = \{{\color{red} x / \text{alice}}, {\color{blue} y / F(\text{alice})}\}$
Wir können nur Variablen ersetzen.
Mit Funktionen müssen
Unification nimmt zwei Aussagen $f$ und $g$ und generiert die kleinste Substitution $\theta$, so dass
$\text{Subst}[\theta, f] = \text{Subst}[\theta, g]$, oder "fail", wenn kein solches $\theta$ existiert.
Die Substitution sollte "klein" sein (und keine unnötigen Ersetzungen machen).
Wollen nicht, dass Unify[F(x), F(x)] x durch alice ersetzt.
Modus ponens (Prädikatenlogik)
\[
\frac{ {\color{blue} a_1', \ldots, a_k'}, \quad \forall x_1\; \ldots\; \forall x_n\; {\color{red} (a_1 \wedge \ldots \wedge a_k)} \to b }{\color{blue} b'}
\]
$\theta = \text{Unify}[{\color{blue} a_1', \ldots, a_k'}, {\color{red} a_1 \wedge \ldots \wedge a_k}]$
$\text{Subst}[\theta, {\color{red} b}] = {\color{blue} b'}$
Knowledge base
$\text{Belegt}(\text{alice}, \text{kigru})$
$\text{Behandelt}(\text{kigru}, \text{mdp})$
$\forall x\; \forall y\; \forall z\; \text{Belegt}(x, y) \wedge \text{Behandelt}(y, z) \to \text{Versteht}(x, z)$
Schluss mit Modus ponens
$\theta = \{x / \text{alice}, y / \text{kigru}, z / \text{mdp} \}$
Schlussfolgere $\text{Versteht}(\text{alice}, \text{mdp})$
Laufzeit
Jede Applikation von Modus ponens produziert eine atomare Aussage
Ohne Funktionen ist die Anzahl an atomaren Aussagen maximal
\[
\text{AnzahlKonstanterSymbole}^\text{MaximalePrädikatArity}
\]
$\forall x\; \forall y\; \forall z\; P(x,y,z)$, mit 100 Konstanten $\Rightarrow$ $100^3 = 1000000$ Möglichkeiten
Wenn die Arity nicht zu groß wird, wäre das gar nicht so schlimm.
Laufzeit
Mit Funktionen haben wir unendlich viele Möglichkeiten
\[
Q(a),\quad Q(F(a)),\quad Q(F(F(a))), \ldots
\]
Wir können Arithmetik in Prädikatenlogik implementieren. Können dann beliebig oft Sum(x, 1) schachteln.
Modus ponens ist vollständig für Prädikatenlogik erster Stufe nur mit Horn-Klauseln.
Prädikatenlogik erster Stufe (auch wenn eingeschränkt auf Horn-Klauseln) ist teilweise entscheidbar .
Wenn $\text{KB}\vDash f$, dann wird Forward Inference (mit vollständigen Schlussregeln) $f$ in endlicher Zeit beweisen.
Wenn $\text{KB}\not\vDash f$, dann kann kein Algorithmus das in endlicher Zeit allgemein beweisen.
Das ist nochmal schlimmer, als nur NP schwere SAT Probleme zu lösen.
Das heißt nicht, dass eine Logik Software keine Sinn hat - sie kann nur nicht magisch alles lösen.
Wie adaptieren wir Resolution?
$\forall x\; \text{Studiert}(x) \to \exists y\; \text{Versteht}(x, y)$
Konversion nach CNF ist mechanisch möglich (mit zusätzlichen Schritten)
Beispiel: "Jeder, der alle Tiere mag, wird von jemandem gemocht"
$\forall x\; (\forall y\; \text{Tier}(y) \to \text{Mag}(x, y)) \to \exists y\; \text{Mag}(y, x)$
$\forall x\; \neg(\forall y\; \neg\text{Tier}(y) \vee \text{Mag}(x, y)) \vee \exists y\; \text{Mag}(y, x)$
(Implikationen ersetzen)
$\forall x\; (\exists y\; \text{Tier}(y) \wedge \neg \text{Mag}(x, y)) \vee \exists y\; \text{Mag}(y, x)$
($\neg$ nach innen ziehen)
Gehen dabei nicht im Detail darauf ein. Hier nur ein Beispiel zur Demonstration.
$\forall x\; (\exists y\; \text{Tier}(y) \wedge \neg \text{Mag}(x, y)) \vee \exists y\; \text{Mag}(y, x)$
($\neg$ nach innen ziehen)
$\forall x\; (\exists y\; \text{Tier}(y) \wedge \neg \text{Mag}(x, y)) \vee \exists z\; \text{Mag}(z, x)$
(Standardisiere Variablen)
$\forall x\; (\text{Tier}(Y(x)) \wedge \neg \text{Mag}(x, Y(x))) \vee \text{Mag}(Z(x), x)$
(Existenzquantor durch Skolem-Funktionen ersetzen)
$\forall x\; (\text{Tier}(Y(x)) \vee \text{Mag}(Z(x), x)) \wedge (\neg \text{Mag}(x, Y(x)) \vee \text{Mag}(Z(x), x))$
($\vee$ nach innen ziehen)
$(\text{Tier}(Y(x)) \vee \text{Mag}(Z(x), x)) \wedge (\neg \text{Mag}(x, Y(x)) \vee \text{Mag}(Z(x), x))$
(Entferne Allquantor)
Die Skolem Funktion ist quasi ein Platzhalter, der mir ein Ergebnis vom Existenzquantor liefert.
Intuition geht bei der Umwandlung leicht verloren - aber das ist auch der Charme von formaler Logik, dass wir die nicht brauchen.
Resolution (Prädikatenlogik erster Stufe)
\[
\frac{f_1 \vee \ldots \vee f_n \vee {\color{red} p}, \quad {\color{red} \neg p} \vee g_1 \vee \ldots \vee g_m}
{\text{Subst}[\theta, f_1 \vee \ldots \vee f_n \vee g_1 \vee \ldots \vee g_m]}
\]
mit $\theta = \text{Unify}[p, q]$.
Beispiel
\[
\frac{\neg \text{Tier}(x) \vee \text{Mag}(Y(x), x), \quad \neg \text{Mag}(u, v) \vee \text{Füttert}(u, v)}
{\neg \text{Tier}(x) \vee \text{Füttert}(Y(x), x)}
\]
Substitution $\theta = \{ u / Y(x), v / x \}$
Prädikatenlogik erlaubt kein Model Checking.
Modus ponens und Resolution lassen sich adaptieren.
Man beachte nochmal, dass Variablen in FOL mehr sind als in CSPs (und echt mehr ausdrücken).
Prädikatenlogik erster Stufe erlaubt Quantoren über Objekte: $\exists x\; \text{Studiert}(x)$
Prädikatenlogik zweiter Stufe erlaubt Quantoren über Prädikate (erster Stufe): $\exists P\; P(\text{alice})$
Prädikatenlogik höherer Stufe erlauben analog Quantoren über Prädikate beliebiger Stufe
Die Berechenbarkeit wird mit höherer Stufe natürlich immer schlechter.